推薦資訊
Latest Information- 濕法激光粒度儀和干法激光粒度儀的區別 04-11
- 干法激光粒度儀的結構和原理 04-11
- Zeta電位及Zeta電位分析儀 04-10
- 激光粒度儀在鋰電池正極材料粒度檢測中的應用 04-10
- 提升鋰電池能量密度的方法研究 04-10
- 激光粒度分析儀用于脂肪乳注射液粒度的研究 04-10
- 水泥密度測試方法研究 04-10
聯系我們
Contact Us電話 : 15021562539
QQ : 619163093
郵箱 : sales@dwshanghai.com
網址 : http://www.lejiazl.com
地址 : 上海嘉定區華江路348號B座226室
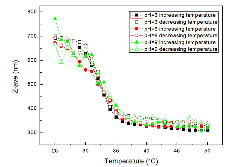
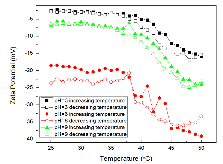
PNIPAm微凝膠的粒徑和Zeta電位測試
- 編輯:
百特BETTERSIZE
時間: 2023-04-10 23:38 瀏覽量: 76
相關新聞
- 基于尺寸區分的粒子分類體系與技術應用 10-01
- 粒子概念的多尺度解析:從宏觀至微觀的物質基本單元 09-28
- 激光粒度儀檢定規程及操作規范 08-06
- 激光粒度儀:顆粒世界的精密量尺 07-30
- 炭素品質精準把控的利器:百特在線粒度監測系統 07-25
- 激光粒度儀測粒徑原理:光散射技術與顆粒表征的核心解析 07-16
- 基于LEDLS技術的二氧化硅拋光液濃度與粒徑精準表征 07-09
- 基于透射光路法的液體折射率高精度檢測 07-02
- 基于靜態光散射流動模式的單抗IgG分子量及聚集態分析 06-18
- 激光粒度儀在材料表征中的作用是什么? 06-11




滬公網安備31011402010444